Gli idrogel sono materiali polimerici reticolati che possiedono la capacità di assorbire grandi quantità di acqua, mantenendo la loro integrità strutturale grazie alla presenza di gruppi funzionali idrofili. Questa caratteristica li rende ideali per applicazioni biomediche, offrendo un ambiente morbido e umido, simile a quello fisiologico delle cellule in vivo.
Il Chitosano: Un Biopolimero Naturale Versatile
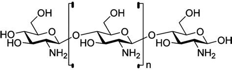
Il chitosano è un biopolimero naturale derivato dalla chitina, abbondante nei gusci dei crostacei e in altre fonti naturali. È apprezzato per la sua biocompatibilità, biodegradabilità, capacità filmogena ed effetti antimicrobici, che lo rendono un materiale unico per la ricerca scientifica e le applicazioni commerciali.
Strutturalmente, il chitosano è un copolimero lineare composto da unità di D-glucosammina e N-acetil-D-glucosammina. La maggior parte del chitosano commerciale presenta un grado di deacetilazione (DD) compreso tra l'80% e il 95%. È solubile in soluzioni acide diluite grazie alla protonazione dei suoi gruppi amminici.
Il chitosano mostra un'ampia attività antimicrobica contro batteri Gram-positivi e Gram-negativi, funghi e lieviti. In soluzione acida, può formare pellicole e rivestimenti trasparenti e flessibili. Grazie ai suoi gruppi amminici e idrossilici, agisce come un efficace agente chelante e flocculante per ioni metallici e contaminanti. Inoltre, promuove la formazione di coaguli e supporta l'adesione piastrinica, trovando impiego in medicazioni emostatiche.
Il chitosano è degradabile enzimaticamente in zuccheri innocui, riducendo i rischi di residui a lungo termine rispetto a molti polimeri sintetici. Nell'uso biomedico, è incorporato in medicazioni per ferite, garze e tamponi emostatici per controllare il sanguinamento, ridurre il rischio di infezioni e favorire la guarigione delle ferite in un ambiente umido.
Il chitosano è anche studiato come eccipiente per il rilascio di farmaci, in particolare nei sistemi orali, nasali, oculari e transdermici, grazie alle sue proprietà mucoadesive. Nell'industria alimentare, viene utilizzato come rivestimento commestibile per prolungare la durata di conservazione di frutta, verdura, carne e frutti di mare. È impiegato anche come fibra alimentare funzionale e ingrediente nutraceutico.
Gli impianti di trattamento delle acque utilizzano il chitosano come flocculante e adsorbente per rimuovere solidi sospesi, coloranti e metalli pesanti dalle acque reflue. In cosmesi, agisce come polimero filmogeno, idratante e condizionante. In agricoltura, viene applicato per stimolare le risposte difensive delle piante e migliorare la tolleranza allo stress.
Il chitosano rappresenta un ponte unico tra risorse naturali e innovazione dei materiali avanzati. La sua biodegradabilità, le proprietà antimicrobiche, la biocompatibilità e la versatilità funzionale lo rendono prezioso in diversi settori.

Preparazione di Idrogel Iniettabili a Base di Chitosano tramite Immina Dinamica Chimica
Viene descritto un metodo semplice ed efficiente per preparare idrogel iniettabili a base di chitosano utilizzando la chimica delle immine dinamiche. Questo protocollo versatile prevede la miscelazione di soluzioni di glicole chitosano con un gelator polimerico sintetizzato, terminato con benzaldeide. Gli idrogel si ottengono in pochi minuti a temperatura ambiente.
Variando i rapporti tra glicole chitosano, gelator polimerico e contenuto d'acqua, è possibile ottenere idrogel con tempi di gelificazione e rigidità differenti. Quando danneggiato, l'idrogel può riacquistare il suo aspetto e il suo modulo elastico grazie alla reversibilità dei legami immine dinamici, che fungono da reticolazioni. Questa proprietà auto-riparante consente agli idrogel di essere iniettabili, poiché possono autoripararsi dopo essere stati estrusi da una massa integrale attraverso un processo di iniezione.
L'idrogel è inoltre multi-sensibile, reagendo a molti stimoli bioattivi grazie ai diversi stati di equilibrio dei legami immine dinamici. È stato confermato che questo idrogel è biocompatibile; cellule di fibroblasti di topo L929 sono state incorporate seguendo procedure standard e la loro proliferazione è stata facilmente valutata tramite un processo di coltura cellulare 3D.
Questo idrogel offre una piattaforma regolabile per diverse ricerche, sfruttando un'imitazione fisiologica di un ambiente 3D per le cellule. La sua elevata capacità di assorbimento dell'acqua, le proprietà biocompatibili e le resistenze meccaniche regolabili ne consentono l'applicazione come impalcatura per colture cellulari 3D.
L'idrogel mostra anche diverse altre caratteristiche grazie alle sue reticolazioni immine dinamiche, tra cui la multi-sensibilità a vari bio-stimoli (acido/pH, derivati della piridossal della vitamina B6, proteine della papaina, ecc.), indicando che potrebbe essere indotto a degradarsi in condizioni fisiologiche. L'idrogel è anche auto-riparante e iniettabile, il che significa che può essere somministrato tramite un metodo di iniezione minimamente invasivo, offrendo un vantaggio nella somministrazione di farmaci e cellule.
Con l'aggiunta di additivi funzionali o gelator polimerici specifici predefiniti, l'idrogel può essere reso compatibile per ottenere proprietà specifiche come sensibilità magnetica, termica, al pH, ecc., soddisfacendo una vasta gamma di esigenze di ricerca. Queste proprietà rivelano il potenziale dell'idrogel come vettore iniettabile per farmaci e cellule sia nella ricerca biomedica in vitro che in vivo.

Applicazioni Biomediche degli Idrogel
Gli idrogel sono stati ampiamente utilizzati in molte applicazioni biomediche grazie alla loro capacità di offrire un ambiente morbido e bagnato, simile all'ambiente fisiologico per le cellule in vivo. Di conseguenza, gli idrogel sono diventati uno degli scaffold più popolari per la coltura cellulare 3D.
Rispetto alla coltura cellulare 2D in piastre di Petri, la coltura cellulare 3D ha fatto rapidi progressi nell'offrire una matrice extracellulare (ECM) che imita il microambiente per le cellule, consentendo loro di contattarsi e aggregarsi per scopi di proliferazione e differenziazione. Inoltre, gli idrogel contenenti polimeri naturali possono offrire ambienti biocompatibili che promuovono la proliferazione e la differenziazione cellulare.
Gli idrogel derivati da polimeri sintetici sono preferibili per i loro componenti semplici e chiari, che escludono influenze complesse come proteine di origine animale o virus. Tra tutti i candidati idrogel per la coltura cellulare 3D, quelli che vengono preparati facilmente e hanno proprietà coerenti sono sempre preferiti.
L'idrogel di chitosano preparato con questo metodo è stato confermato come biocompatibile e le cellule di fibroblasti di topo L929 sono state incorporate con successo, dimostrando la sua idoneità per la coltura cellulare 3D. Le cellule coltivate nell'idrogel hanno mostrato proliferazione e vitalità, indicando che l'ambiente fornito dall'idrogel è favorevole alla crescita cellulare.
L'idrogel si è dimostrato efficace anche nel supportare la coltura cellulare 3D di cellule tumorali ovariche, replicando in modo più fedele il microambiente tumorale in vivo rispetto ai tradizionali sistemi di coltura cellulare 2D. Questo è fondamentale poiché la morfologia cellulare e le interazioni cellula-ambiente influenzano significativamente il comportamento cellulare e le reti di segnalazione intercellulare.
Inoltre, gli idrogel sono utilizzati nell'endoscopia interventistica per facilitare la resezione dei tumori della mucosa. Quando le lesioni neoplastiche si trovano in organi delicati come stomaco, intestino ed esofago, è necessario formare un cuscinetto fluido sottomucoso (SFC) per sollevare il tumore dal muscolo sottostante durante la resezione.
Proprietà Auto-Riparanti e Iniettabili
La capacità di auto-riparazione dell'idrogel, dovuta alla reversibilità dei legami immine dinamiche, lo rende iniettabile. Ciò significa che può essere somministrato tramite metodi minimamente invasivi, aprendo nuove possibilità per la somministrazione di farmaci e cellule.

Multi-Sensibilità
L'idrogel è multi-sensibile, reagendo a vari bio-stimoli come variazioni di pH, presenza di vitamine o enzimi. Questa caratteristica permette di modularne la degradazione o il rilascio di sostanze attive in risposta a specifici segnali fisiologici.
Considerazioni sulla Sicurezza e Sperimentazione
Prima dell'uso, è fondamentale consultare tutte le schede di dati di sicurezza (MSDS) pertinenti. Durante gli esperimenti di chimica, è necessario adottare pratiche di sicurezza adeguate, tra cui l'uso di una cappa aspirante e dispositivi di protezione individuale (occhiali protettivi, guanti protettivi, camice da laboratorio, ecc.).
Preparazione e Analisi dell'Idrogel
La preparazione dell'idrogel prevede diverse fasi, tra cui la sintesi del polietilenglicole (PEG) terminato con benzaldeide, la reazione di terminazione di benzaldeide del PEG e il processo post-reazione. La formazione dell'idrogel avviene mescolando soluzioni di glicole chitosano e PEG terminato con benzaldeide.
L'analisi reologica viene effettuata su un reometro rotazionale per valutare le proprietà meccaniche dell'idrogel, come il modulo elastico. Test specifici vengono condotti per valutare la gelificazione, la rigidità e le proprietà auto-riparanti dell'idrogel.
| Rapporto Glicole Chitosano:PEG DF | Tempo di Gelificazione (minuti) | Modulo Elastico (G') (Pa) | Rigidità |
|---|---|---|---|
| 1:1 | ~5 | ~500 | Morbid |
| 1:2 | ~3 | ~1500 | Medio |
| 1:3 | ~2 | ~3000 | Rigido |
Colture Cellulari 3D in Idrogel
Per le colture cellulari 3D, vengono preparate soluzioni di gelificazione dell'idrogel e sospensioni cellulari. Le cellule di topo L929 vengono coltivate e incubate in condizioni controllate. L'incapsulamento delle cellule nell'idrogel avviene miscelando le sospensioni cellulari con il glicole chitosano, seguito dall'aggiunta della soluzione di PEG DF per indurre la formazione dell'idrogel.
L'idrogel contenente cellule viene quindi incubato e il mezzo di coltura viene cambiato quotidianamente. Per l'imaging, l'idrogel viene iniettato in una capsula Petri e osservato al microscopio confocale per valutare la vitalità e la distribuzione delle cellule.
Dopo l'iniezione e la coltura post-cellulare, l'idrogel viene sciacquato e colorato per visualizzare le cellule vive e morte. L'analisi al microscopio confocale conferma la distribuzione uniforme delle cellule e la loro vitalità nell'idrogel. L'idrogel viene degradato con acido acetico per recuperare le cellule e analizzarne la proliferazione.
