Rischiaril Forte 10 Bustine di Piam Farmaceutici è un integratore alimentare formulato per supportare il normale funzionamento del sistema nervoso e le funzioni cognitive. La sua composizione unica a base di colina, vitamina C e vitamina E lo rende un valido aiuto in caso di aumentato fabbisogno di questi nutrienti essenziali.
La colina, presente sotto forma di Citicolina sale sodico, è un componente fondamentale per la sintesi dei fosfolipidi, elementi strutturali delle membrane cellulari. Inoltre, la colina contribuisce al normale metabolismo dei lipidi. La vitamina C, nota per le sue proprietà antiossidanti, supporta il sistema nervoso e la funzionalità psicologica, contribuendo anche alla riduzione di stanchezza e affaticamento. La vitamina E completa la formula con la sua azione protettiva delle cellule dallo stress ossidativo.
Composizione e Ingredienti
Rischiaril Forte si distingue per la sua formula completa:
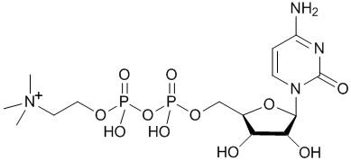
- Citicolina sale sodico: Apporta 1000 mg per bustina, di cui 221,1 mg di colina. La colina è un precursore nella sintesi dei fosfolipidi e contribuisce al normale metabolismo dei lipidi.
- Vitamina C: 40 mg per bustina, che contribuisce al normale funzionamento del sistema nervoso e alla normale funzionalità psicologica, oltre a ridurre stanchezza e affaticamento.
- Vitamina E: 6 mg per bustina, che protegge le cellule dallo stress ossidativo.
Gli ingredienti includono anche fruttosio, edulcoranti (sorbitolo, acesulfame K, sucralosio), maltodestrina, aroma, agente antiagglomerante (biossido di silicio) e acido citrico. Il prodotto è formulato senza glutine e naturalmente privo di lattosio.

Modalità d'Uso e Conservazione
Si consiglia l'assunzione di una bustina orosolubile al giorno. La bustina può essere sciolta direttamente in bocca oppure diluita in un bicchiere d'acqua. Questa modalità di assunzione è particolarmente indicata per soggetti che incontrano difficoltà nella deglutizione.
È importante conservare il prodotto a temperatura ambiente, non superiore ai 25°C, evitando l'esposizione a fonti di calore, alla luce solare diretta e al contatto con l'acqua.
Avvertenze Importanti
Come per tutti gli integratori alimentari, è fondamentale tenere Rischiaril Forte fuori dalla portata dei bambini al di sotto dei 3 anni. Non si deve superare la dose giornaliera consigliata.
Gli integratori alimentari non devono essere considerati sostituti di una dieta variata ed equilibrata e di uno stile di vita sano. Il prodotto contiene polialcoli, il cui consumo eccessivo può avere effetti lassativi.

Benefici e Indicazioni
Rischiaril Forte è utile per favorire le funzioni cognitive, specialmente in periodi di stress o con l'avanzare dell'età, quando si può manifestare una diminuzione della concentrazione e della memoria. L'integratore agisce anche come antiossidante, proteggendo i neuroni dai radicali liberi e stimolandone il metabolismo.
Può essere efficace anche nel trattamento di disturbi come tinnito, scotomi e perdita di equilibrio.
Il nutriente essenziale del cervello 🧠 🆘
Informazioni sul Prodotto
Rischiaril Forte Piam Farmaceutici è disponibile in astucci da 10 o 30 bustine orosolubili.
Valori Nutrizionali Medi per Bustina
| Componente | Quantità per bustina | % VNR* |
|---|---|---|
| Citicolina sale sodico (di cui colina apportata) | 1.000 mg (221,1 mg) | - |
| Vitamina C | 40 mg | 50% |
| Vitamina E | 6 mg | 50% |
*VNR: Valori Nutritivi di Riferimento

tags: #piam #farmaceutici #rischiaril #forte