La carnitina è un derivato aminoacidico naturale che viene spesso assunto come integratore. Non tutti conoscono la carnitina e la sua importanza per l’organismo e per tutti i processi cellulari e metabolici. Si tratta di un nutriente che svolge un ruolo essenziale quando l’organismo ha bisogno di energie, a causa di stanchezza fisica e mentale. La molecola viene prodotta dal nostro organismo e introdotta con l’alimentazione ma spesso è necessaria l’assunzione di integratori alimentari a base di carnitina per sostenere a pieno l’organismo.
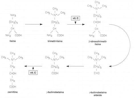
La carnitina è un derivato aminoacidico sintetizzato nell'organismo umano, prevalentemente a livello epatico e renale. Detta più semplicemente carnitina, viene prodotta a partire da due aminoacidi - la Lisina e la Metionina - in presenza di Niacina, Vitamina B6, Vitamina C e Ferro. L'organismo, in assenza di alterazione genetiche o patologie, è perfettamente in grado di produrre carnitina. La sintesi endogena avviene a partire dal substrato TML (6-N-trimetillisina), che a sua volta deriva dalla metilazione dell'amminoacido lisina. La TML viene quindi idrossilata in idrossitmetililina (HTML) mediante trimossillismina diossigenasi, che richiede la presenza di acido ascorbico e ferro. L'HTML viene quindi scisso dall'aldolasi HTML (un fosfato piridossale che richiede l'enzima), producendo 4-trimetilamminobutirraldeide (TMABA) e glicina. Il TMABA è successivamente deidrogenato in gamma-butirrobetaina in una reazione NAD+ dipendente, catalizzata dalla TMABA deidrogenasi. Rebouche ed Engel studiarono la distribuzione tissutale negli esseri umani degli enzimi biosintetici di carnitina.
La L-Carnitina è un derivato aminoacidico, utilizzato oramai da diversi anni come integratore nutrizionale. La L-Carnitina è stata impiegata in vari ambiti. La carnitina è contenuta soprattutto negli alimenti di origine animale come la carne ed i prodotti caseari. L'assorbimento della carnitina avviene quasi totalmente nell'intestino tenue. Una persona media introduce circa 60-180 mg di carnitina / die (2-12 μmol di carnitina / die / kg di peso corporeo, il 75 % della carnitina globale). La differenza di livelli plasmatici di carnitina tra umani onnivori e vegetariani rigorosi non è probabilmente di alcun significato clinico. Data la prevalenza nei prodotti animali - e considerando che questo amminoacido viene sintetizzato a partire da altri due aminoacidi essenziali (non sintetizzabili dall'organismo a velocità sufficiente per soddisfare le richieste metaboliche) - le persone che seguono una dieta vegana potrebbero manifestare deficit di carnitina.

Il Ruolo Energetico della Carnitina
La funzione più nota è legata al metabolismo energetico: permette il trasporto degli acidi grassi a lunga catena nella matrice mitocondriale, dove possono essere ossidati (beta-ossidazione) per la produzione di ATP. L'ingresso mediato dalla carnitina è un punto limitante e di regolazione. L'attività più nota della carnitina è il suo ruolo come trasportatore di acidi grassi a lunga catena nella matrice mitocondriale, sede nella quale gli acidi grassi vengono convertiti in energia tramite il processo di Beta-Ossidazione. La carnitina ha un ruolo importantissimo per la produzione di energia a livello mitocondriale. Il mitocondrio è la struttura cellulare deputata alla formazione di energia, sotto forma di ATP, utile per permettere il corretto funzionamento di cellule e tessuti dell’organismo, come muscoli, cuore e altri apparati. Infatti, la L-carnitina si comporta da carrier e trasporta gli acidi grassi a lunga catena presenti nel citosol, all’interno della matrice mitocondriale e permette così la produzione di energia tramite una serie di reazioni chimiche che prendono il nome di “processo di beta-ossidazione degli acidi grassi”. La carnitina però, oltre a fornire il carburante necessario per la produzione di energia cellulare, si occupa anche si smaltire i prodotti di scarto derivanti da tali processi, con un’azione di detossificazione dei mitocondri.
Gli acidi grassi liberi circolanti, rilasciati dal tessuto adiposo nel sangue, si legano all'albumina sierica (molecola di trasporto) che li trasporta fino al citoplasma delle cellule bersaglio (cuore, muscolo scheletrico e altre cellule tissutali) dove vengono usati come substrato energetico. Nella prima fase della reazione, l'acil-CoA sintetasi catalizza il trasferimento del gruppo di adenosina monofosfato (AMP) da una molecola di ATP sull'acido grasso generando un intermedio grasso acil-adenilato e un gruppo pirofosfato (PPi). Il pirofosfato, formato dall'idrolisi dei due legami ad alta energia nell'ATP, viene immediatamente idrolizzato a due molecole di Pi mediante la pirofosfatasi inorganica. Questa reazione è altamente exergonica (un processo exergonico è quello in cui vi è un flusso positivo di energia dal sistema all'ambiente circostante) che spinge in avanti la reazione di attivazione e la ottimizza. Nella seconda reazione, gli acidi grassi attivati che sono destinati all'ossidazione mitocondriale vengono trasportati nella matrice da una proteina carrier, ma prima l'acil-CoA deve essere transitoriamente attaccato al gruppo ossidrile di carnitina per formare l'acil-carnitina grasso. L'estere grasso acil-carnitina formatosi si diffonde poi attraverso lo spazio intermembrana dei mitocondri ed entra nella matrice mediante trasporto passivo attraverso il cotrasportatore acil-carnitina / carnitina che si trova nella membrana mitocondriale interna. Nella terza e ultima reazione, il gruppo acile grasso viene trasferito dalla acil-carnitina grasso - nella matrice - al coenzima intramitocondriale A-Acido-CoA grasso rigenerante, lasciando una molecola di carnitina libera. Questa reazione è catalizzata dalla carnitina aciltransferasi 2 (anche chiamata CPT2), che viene posizionata sulla faccia interna della membrana mitocondriale.

Diversi Tipi di Carnitina e Loro Funzioni
La carnitina la si trova in tre sotto-forme: L-carnitina (LC), Acetil-L-carnitina (ALC) e Propionil-L-carnitina (PLC). Le tre tipologie di carnitina partecipano tutte alla produzione di energia. Ma ogni sotto-forma svolge questo ruolo chiave legandosi a tessuti e cellule specifiche, cosa che permette loro di contribuire alla salute di aree diverse dell’organismo. Il capostipite L-carnitina (LC) ha maggiore affinità per il tessuto cerebrale e partecipa alla biosintesi di neurotrasmettitori e della guaina mielinica che riveste e protegge le fibre nervose. Al contrario le altre due forme hanno un trofismo maggiore per tessuto muscolare, scheletrico e cardiaco, determinando quindi un miglioramento del rifornimento energetico ai tessuti. Questa differenza permette la formulazione di integratori alimentari specifici alle esigenze dell’organismo.
- L-carnitina (LC): Ha maggiore affinità per il tessuto cerebrale e partecipa alla biosintesi di neurotrasmettitori e della guaina mielinica.
- Acetil-L-carnitina (ALCAR): Spesso chiamata ALCAR, questa è probabilmente la forma più efficace per la salute del cervello. Può prevenire il declino mentale legato all'età e migliorare l’apprendimento.
- Propionil-L-carnitina (PLC): Questa forma è adatta per i problemi circolatori, come le malattie vascolari periferiche e l'alta pressione sanguigna. Può stimolare la produzione di ossido nitrico, che migliora il flusso sanguigno.
- L-carnitina L-tartrato: Questo derivato è comunemente aggiunto agli integratori sportivi a causa del suo rapido assorbimento. Può aiutare l'indolenzimento muscolare e il recupero durante l'esercizio.
Carnitina e Metabolismo dei Grassi
La carnitina fa dimagrire? La L-carnitina aiuta il corpo a perdere peso con meccanismi diretti e indiretti. Questa molecola, infatti, aiuta a dimagrire perché permette di utilizzare e “bruciare” i grassi, riattivando il metabolismo cellulare. Inoltre, ha azione tonificante per la massa muscolare e riduce la stanchezza e il senso di fame. In questo modo, affiancando una alimentazione varia, della sana attività fisica e la giusta idratazione, la carnitina può essere un valido alleato per perdere i chili di troppo. Favorisce la perdita di peso. Aumentando il trasporto di acidi grassi all’interno dei mitocondri, la carnitina (la L-carnitina in particolar modo) facilita la combustione di grassi portando ad una perdita di peso.
In caso di iperglicemia e scorte di glicogeno sature, il fegato inizia la liposintesi producendo acidi grassi e trigliceridi a partire dal glucosio in eccesso. Ciò aumenta la concentrazione di malonil-CoA, il primo intermedio nella sintesi degli acidi grassi, portando all'inibizione della carnitina aciltransferasi 1, impedendo così l'ingresso di acidi grassi nella matrice mitocondriale per la β ossidazione.
Quando Assumere la Carnitina?
Un deficit di carnitina può essere imputabile a un inadeguato apporto con la dieta, ma anche a una ridotta biosintesi o a una maggiore richiesta da parte del corpo, come nel caso di intensa attività sportiva, periodi di stress o cambi di stagione. In tutti questi casi può essere necessaria l’assunzione di integratori specifici a base di carnitine. La carnitina è inserita nell’elenco “Altri nutrienti e altre sostanze ad effetto nutritivo o fisiologico” stilato dal Ministero della Salute. Nello specifico, in ambito sportivo faciliterebbe il recupero muscolare e agevolerebbe la riparazione del tessuto muscolare in caso di danni. In ambito più propriamente sportivo la carnitina avrebbe la capacità di facilitare il recupero muscolare dopo la performance atletica e di facilitare la riparazione del tessuto muscolare in caso di danni; aiuterebbe poi a ritardare l'insorgenza della fatica, a mantenere livelli di energia elevati per periodi prolungati durante sforzi fisici e, inoltre, aumenterebbe la resistenza.
Nel cuore, durante la transizione dal metabolismo fetale a quello neonatale. L'attivazione della carnitina si verifica a causa della necessità di ossidare gli acidi grassi indispensabili per la produzione di energia. Durante un impegno motorio e durante il digiuno, diminuiscono le concentrazioni di ATP e aumentano le concentrazioni di ADP e AMP, che portano all'attivazione della protein chinasi, a sua volta attivata dalla AMP (AMPK). La fosforilazione di AMPK acetil-CoA carbossilasi catalizza la sintesi di malonil-CoA.

Carnitina e Performance Sportiva
Nonostante la fortissima base razionale, che giustificherebbe il ruolo ergogenico e migliorativo della L-Carnitina nei confronti della performance atletica, e una mole di studi a riguardo molto ampia, l'efficacia della supplementazione con L-Carnitina in ambito sportivo non è ancora stata del tutto provata. Non si sia osservato un miglioramento della performance e delle capacità di recupero in maratoneti (Eur J Appl Physiol Occup Physiol. Non si siano osservati effetti ergogenici, di elevamento della VO2 massima e di miglioramenti della performance (Am J Clin Nutr. Migliora le prestazioni fisiche. Le prove evidenziano piccoli miglioramenti legati all’assunzione di alte dosi di carnitina o un’assunzione prolungata nel tempo di questo amminoacido. Apporto di ossigeno ai muscoli: può aumentare la produzione di globuli rossi, che trasportano l’ossigeno in tutto il corpo e nei muscoli. Indolenzimento muscolare post esercizio fisico.
Grazie all’incremento della prestazione fisica favorita dall’aumento dei livelli energetici, gli integratori di carnitina sono di utilizzo comune tra gli sportivi. I risultati sono invece riscontrabili assumendo al massimo un grammo di carnitina, quindi 2-3 capsule di Carnitine Farmaenergy al giorno, per un periodo non superiore ai 28 giorni.
Integratori a Base di Carnitina: Esempi e Caratteristiche
Esistono diversi integratori alimentari formulati con carnitina, ognuno con caratteristiche specifiche:
- Carnidyn Plus: È un integratore alimentare formulato per supportare l'energia e contrastare la stanchezza fisica e mentale. Contiene una miscela di vitamine, minerali, creatina, aminoacidi e carnosina. Tra gli ingredienti principali, troviamo Zinco, Vitamina B5, Vitamina E, Magnesio, Selenio e Carnosina.
- L-carnitina di Natural Elements: Le capsule di L-carnitina di Natural Elements sono progettate per fornire energia, soprattutto per chi pratica sport. Ogni capsula contiene 500 mg di L-carnitina. Questo prodotto si distingue per la sua qualità vegana premium, utilizzando la materia prima Carnipure.
- Yamamoto Nutrition Carnitine 1000: È un integratore alimentare a base di Carnitina tartrato, in compresse da 1000 mg. La Carnitina gioca un ruolo cruciale nel trasporto degli acidi grassi nei mitocondri.
- Carnitine 1000 Bandini: È un integratore alimentare ad alto dosaggio pensato per chi pratica attività fisica con costanza. Ogni compressa fornisce 1000 mg di L-carnitina tartrato.
- Carnitine Farmaenergy: 150 capsule da 400mg, formulata e prodotta dai laboratori Biosalts, contiene purissima L-carnitina tartrato, sostanza sintetizzata dal fegato tramite la conversione della lisina e della metionina.
- L-Carnitina di gloryfeel: Capsule di L-carnitina di qualità premium, con materia prima Carnipure®. La L-carnitina tartrato contenuta nelle capsule è composta da circa il 68% di L-carnitina pura.

Possibili Effetti Collaterali e Precauzioni
L'uso di L-Carnitina, soprattutto se effettuato a dosaggi elevati, potrebbe determinare la comparsa di nausea, vomito, crampi addominali e diarrea. Un consumo fuori dai limiti di carnitina può causare nausea, crampi addominali, diarrea e vomito. Se si sospetta ipersensibilità al principi attivi è meglio astenersi dall’assunzione di questa sostanza. L'uso concomitante di analoghi della didanosina, zalcitabina, stavudina, di acido valproico, oltre che di alcuni antibiotici, potrebbe compromettere le normali proprietà farmacocinetiche e farmacodinamiche della L-Carnitina. Non superare le dosi giornaliere consigliate. Tenere al di fuori dalla portata dei bambini al di sotto dei tre anni. Non assumere in gravidanza e nei bambini o comunque per periodi prolungati senza sentire il parere del medico. Gli integratori alimentari non vanno intesi come sostituti di una dieta variata ed equilibrata. Ricordiamo l’importanza di seguire uno stile di vita sano e un’alimentazione variata ed equilibrata.
Fino a 2.000 mg (2 grammi) al giorno, la carnitina sembra sicura ed efficace a lungo termine. Tuttavia, se assunta per periodi troppo lunghi, potrebbero verificarsi alcuni lievi effetti collaterali, tra cui nausea e mal di stomaco. Inoltre, potrebbero aumentare i livelli ematici di trimetilammina-N-ossido (TMAO) nel tempo. Alti livelli di TMAO sono collegati ad un aumento del rischio di aterosclerosi.
Acetil-L-carnitina per prevenire l'invecchiamento cerebrale e cardiaco
Carenze di Carnitina e Gruppi a Rischio
Il deficit sistemico di carnitina è una rara sindrome genetica autosomica recessiva, caratterizzata da un quadro clinico grave e progressivo contraddistinto da cardiomiopatia, miopatia scheletrica, ipoglicemia ed iperammonemia. Sono stati riconosciuti oltre 20 difetti genetici umani che interessano il trasporto o l'ossidazione degli acidi grassi. In caso di difetti dell'ossidazione degli acidi grassi, l'acil-carnitina si accumula nei mitocondri e viene trasferita nel citosol e poi nel sangue. Quando la β ossidazione è difettosa a causa della mutazione o della carenza di carnitina, nei mammiferi, la ω (omega) ossidazione diventa più importante. In realtà, la ω ossidazione degli acidi grassi è un'altra via per la degradazione degli acidi grassi tipica di alcune specie di vertebrati e mammiferi, che si verifica nel reticolo endoplasmatico del fegato e dei reni.
Poiché questo derivato amminoacidico deriva soprattutto da prodotti animali, vegetariani e vegani vanno incontro facilmente a carenze e necessitano di integrazione. Anche gli adulti più anziani possono beneficiare degli integratori a base di carnitina, dal momento che le ricerche mostrano un calo della sintesi di questo amminoacido col progredire dell'età. Migliorare la salute e la funzione del cervello quando si invecchia, prevenendo malattie neurodegenerative.

Tabella: Contenuto di Carnitina in Alimenti (per 100g)
| Alimento | Contenuto di Carnitina (mg) |
|---|---|
| Carne di agnello | 210 |
| Manzo | 90-120 |
| Maiale | 40-70 |
| Latte | 3-10 |
| Pesce | 5-15 |
| Uova | 5-10 |
| Mele | 3.1 |
tags: #carnitina #named #vitaminstore