Il Saccharomyces cerevisiae, comunemente noto come lievito di birra o lievito per panificazione, è un fungo unicellulare appartenente al regno dei saccaromiceti. È uno dei microrganismi più studiati e utilizzati dall'uomo, fondamentale nei processi di fermentazione per la produzione di pane, birra e vino. La sua distribuzione è pressoché ubiquitaria, essendo possibile isolarlo sui tessuti esterni dei vegetali, sulla pelle e nelle mucose di molti animali, nell'acqua, nel terreno e negli alimenti. Nella tradizione agro-industriale dell'uomo rappresenta da sempre un organismo di estrema importanza per il ruolo che è in grado di svolgere nella realizzazione di alcuni tra i più diffusi alimenti. È infatti il responsabile della fermentazione alcoolica e della lievitazione, fondamentali per ottenere prodotti ricercati come vino, birra e pane.
Quello dei lieviti è un raggruppamento del Regno dei Funghi che, data l'elevata eterogeneità dei suoi membri, non è considerato come una categoria tassonomicamente valida, ma unisce sotto di sé tutte le specie di funghi unicellulari che si riproducono per gemmazione. Le cellule di questo lievito, in condizioni vegetative, sono diploidi con un contenuto nucleare di 16 coppie di cromosomi. La riproduzione avviene generalmente per gemmazione, una modalità di riproduzione asessuale attraverso la quale le cellule producono dei cloni di loro stesse. In particolari condizioni, però, possono effettuare la riproduzione sessuale. Il ciclo riproduttivo sessuale prevede la formazione di spore aploidi contenute in cellule modificate che prendono il nome di aschi, e così le stesse spore assumono la denominazione di ascospore. Le cellule di Saccharomyces cerevisiae hanno una morfologia differente in base al diverso assortimento cromosomico: le cellule di lieviti diploidi hanno un aspetto ellittico di forma vagamente globosa e raggiungono le dimensioni di 10 micron, mentre le spore non superano i 4 micron e sono tendenzialmente sferiche. Non si riscontra la presenza di ife e solo sporadicamente è possibile individuare pseudo-ife rudimentali. Le colonie appaiono lisce, piatte, di consistenza umida e dal colore variabile tra il verde-giallo-marroncino. Crescono bene in terreni molto ricchi di sostanza nutritive, quali molecole organiche come zuccheri e proteine, e fonti di azoto e fosforo, sebbene non siano in grado di metabolizzare i nitrati. La temperatura di coltura ottimale è intorno ai 30 °C e presenta caratteristiche di organismo anaerobio facoltativo. La capacità di fermentare glucosio e fruttosio con produzione di etanolo ed azione lievitante ne definiscono senz'altro la sua importanza.
Il Saccharomyces cerevisiae è presente in natura nell'aria o sulla buccia della frutta, ma può essere anche isolato e coltivato in laboratorio per essere utilizzato nell'industria alimentare. La fermentazione effettuata con questo lievito è un processo di natura biochimica dove gli zuccheri si convertono in alcol etilico e anidride carbonica. Durante la fermentazione il Saccharomyces cerevisiae utilizza gli zuccheri presenti nel mosto o nell'impasto come fonte di energia per riprodursi dando così una bella spinta. La trasformazione avviene con esattezza in questa sequenza: gli zuccheri si convertono in glucosio, ed esso a sua volta, tramite alcune reazioni chimiche, si trasforma in anidride carbonica e alcol etilico.
Per cosa viene usato il Saccharomyces cerevisiae? Come già anticipato il Saccharomyces cerevisiae viene utilizzato principalmente per la produzione di birra, pane e vino, ma non solo: è utilizzato anche per la creazione di farmaci e biocarburanti. Inoltre è utilizzato anche come modello per studiare la genetica e la biologia cellulare. Questo lievito infatti è stato oggetto di molti studi, dato la sua unicellularità, per comprendere i meccanismi molecolari legati alla riproduzione delle cellule.

Alquanto popolare tra i fautori di varie medicine alternative, praticamente assente nei libri di testo della medicina ufficiale, stiamo parlando dell'intolleranza ai lieviti, espressione generica per indicare una disbiosi della flora intestinale con sovracrescita della componente fungina, in particolare del lievito Candida albicans. Iniziamo col dire che spesso i termini funghi e lieviti sono utilizzati come sinonimi, dal momento che i lieviti rappresentano funghi unicellulari di dimensioni microscopiche. Oltre al genere Candida, nella flora batterica intestinale dell'uomo si riscontrano anche funghi appartenenti al genere Saccharomyces, Aspergillus e Penicillium.
La flora batterica intestinale può essere considerata una sorta di impronta genetica, diversa da individuo a individuo e influenzata soprattutto dalla dieta, che tende a favorire alcune specie microbiche rispetto ad altre. Molto importante, in tal senso, risulta la funzionalità dell'apparato digerente che - a parità di dieta - può diversificare la quantità di nutrienti inassorbiti o mal digeriti che giungono nel colon. Di fronte ai disturbi sopraccitati, molto spesso si tirano in ballo le intolleranze alimentari, oggi molto di moda e spesso sopravvalutate, talvolta confermate ed avvalorate da test diagnostici di dubbia utilità o del tutto inaffidabili. Come spesso accade, si parte da presupposti scientifici assodati per poi perdersi in ragionamenti semplicistici giungendo a conclusioni del tutto fuorvianti. Di fronte a sintomi come pancia gonfia, meteorismo ed eccesso di gas intestinali, è facile dare la colpa ad una intolleranza ai lieviti. Innumerevoli sono le cause che possono portare a questi sintomi e vanno attentamente studiate per trovare una soluzione a questo disturbo (intolleranza al lattosio o al glutine, scarsa efficacia digestiva, iperalimentazione in un contesto di sedentarietà, eccessivo consumo di bevande gassate, scarso o eccessivo consumo di fibre, intolleranza digestiva nei confronti di particolari abbinamenti di cibi, aerofagia e via discorrendo). Spesso, invece, si tende a prescrivere diete prestampate che eliminano determinate categorie di alimenti, come l'allontanamento di zuccheri, alcolici e cibi ricchi di lieviti e micotossine. Per questo, in cima alla "black list" troviamo il saccarosio, la frutta (sia quella zuccherina che quella essiccata), buona parte dei cereali, le bevande zuccherate ed alcoliche (in particolare la birra), i cibi affumicati o ricchi di conservanti, le arachidi, l'aceto, il pane (ammesso quello non lievitato) ed i formaggi a pasta dura. Dall'altro lato, la dieta per la candida incentiva il consumo di yogurt non zuccherato (in quanto alimento ricco di batteri utili per la salute dell'intestino), di specifiche formulazioni probiotiche e prebiotiche, dell'aglio, della curcuma e di vari cibi fermentati come il miso o il kefir. Consentiti il pesce, le uova, la carne magra, l'olio di oliva ed altri oli di semi, il riso integrale, le alghe e le verdure (ben lavate). L'alimentazione anticandida dà molto spazio ad alcuni integratori, come i già citati probiotici (soprattutto batteri del genere Lactobacillus), prebiotici (FOS ed inulina), acido caprilico, acido sorbico e sorbati, e complementi a base di fibre solubili (pectina, gomma di guar, semi di psillio e di lino).
Il termine “intolleranza ai lieviti” è usato in genere per descrivere una sensibilità di tipo non allergico, che quindi non coinvolge il sistema immunitario. Molte persone credono che pizza, pane, grissini e birra causino l’insorgenza o il peggioramento di sintomi gastrointestinali e che per questo sia necessaria una stretta dieta di eliminazione. La Medicina ufficiale su questo argomento ha una posizione di grande cautela e di sostanziale incredulità. L’intolleranza al lievito non è una diagnosi medica accettata dalla medicina ufficiale e tanto meno dagli allergologi: semplicemente, non ci sono prove. Tra l’altro nei paesi industrializzati la Candida albicans è considerata il predominante lievito commensale dell’intestino umano, con circa il 40% di prevalenza negli adulti sani.
Il Saccharomyces cerevisiae, pur essendo un organismo generalmente innocuo, può in determinate circostanze comportarsi come patogeno. In condizioni normali, questo lievito non è in grado di colonizzare l'essere umano in modo patogeno. Tuttavia, in presenza di specifiche vulnerabilità dell'ospite, può causare infezioni sistemiche note come saccaromicosi o fungemie. Le cause che trasformano un microrganismo generalmente innocuo in un agente patogeno sono legate principalmente allo stato immunitario del paziente e all'integrità delle barriere anatomiche. Oltre alle infezioni invasive, il lievito di birra può essere responsabile di reazioni di ipersensibilità immunitaria, che spaziano dalle allergie alimentari e respiratorie a risposte autoimmuni correlate a malattie infiammatorie croniche intestinali.
Emocoltura: È il gold standard per la diagnosi di fungemia. Il sangue del paziente viene coltivato in terreni specifici per identificare la crescita del lievito. Tuttavia, il S. cerevisiae può essere difficilmente distinguibile da altri lieviti commensali o contaminanti.
Biopsia Tissutale: In caso di sospetta infezione d'organo (es. meningite fungina), la biopsia del tessuto interessato e la successiva analisi istologica e microbiologica possono confermare la presenza del lievito.
Per le infezioni sistemiche, è necessario l'uso di farmaci antifungini. Per quanto riguarda la fungemia, la prognosi è più riservata e dipende strettamente dalle condizioni di base del paziente. Se diagnosticata precocemente e trattata con antifungini appropriati, il tasso di guarigione è significativo. Tuttavia, nei pazienti con grave immunodeficienza o sepsi avanzata, la mortalità rimane rilevante.
Cautela con i Probiotici: Evitare la somministrazione di S. cerevisiae o S. boulardii in pazienti con cateteri venosi centrali, gravemente immunocompromessi o con predisposizione a fungemia, specialmente in terapia intensiva.
Dieta: Per i soggetti allergici, leggere attentamente le etichette alimentari.

Uno studio ha analizzato la sicurezza/tollerabilità e gli effetti a breve termine di un integratore alimentare di origine naturale a base di estratto derivante da cellule di lievito Saccharomyces cerevisiae. La ricerca aneddotica, retrospettiva, compassionevole, osservazionale, aperta, si è svolta su 120 pazienti (età compresa tra 18 e 90 anni) che si sono rivolti al “Network del Secondo Parere” (Modena, Italia). I soggetti selezionati sulla base di una indagine bibliografica (review preliminare per disturbi cognitivi) hanno assunto la formulazione proposta in forma orale alla posologia di tre capsule al giorno.
Saccharomyces cerevisiae (noto anche come lievito di birra) appartiene al regno dei funghi ed è caratterizzato dalla capacità di fermentare gli zuccheri, ovvero di ottenere da glucosio e fruttosio, alcool (etanolo) ed anidride carbonica. Tale composto ha effetti benefici sull’apparato cardiovascolare poiché le vitamine in esso contenute abbassano i livelli di omocisteina, prevenendo la formazione di placche aterosclerotiche, inoltre esercita un’azione depurativa epatica. Come indicato da diversi studi, la colonizzazione del lievito durante il periodo di somministrazione tende a riequilibrare il rapporto tra flora batterica patogena e saprofita e facilita il transito fecale. Infine possiede una dimostrata azione immunomodulante.
Esso viene utilizzato inoltre come integratore e supplemento di vitamine e minerali: per la sua funzione di mantenimento dell’apparato tegumentario e degli annessi cutanei, poiché previene la caduta dei capelli, rafforza le unghie ed elimina l’eccesso di sebo dalle pelli grasse, prevenendo quindi acne e dermatiti. Ad uso clinico topico promuove la cicatrizzazione esplicando benefici in caso di ustioni ed infiammazioni.
Per ottenere l’estratto di lievito di birra, ceppi selezionati di Saccharomyces cerevisiae vengono fatti moltiplicare con fermentazione in ambiente controllato (a specifiche condizioni quali presenza di ossigeno, temperatura mantenuta a 30°C e substrato zuccherino) e somministrato per via orale come integratore al dosaggio di 500 mg, il fermentato globale orale essiccato di S. cerevisiae risulta efficace nel migliorare acne e dermatite, nonché per il suo ruolo antiossidante e immunostimolante. In uno studio condotto su 139 pazienti con varie forme di acne, l’efficacia e la tolleranza di S. cerevisiae sono state studiate per un periodo di 5 mesi. I risultati, valutati dal medico tramite visita, sono stati positivi (in termini di miglioramento o guarigione) nell’80% dei casi trattati con 250 mg di lievito secco da Saccharomyces cerevisiae HANSEN CBS 5926, mentre il gruppo placebo ha riscontrato benefici solo nel 26% dei pazienti.
Nello studio di Yeh et al. sono stati testati gli effetti anti-infiammatori di S. cerevisiae (SCLFP) in modello murino con infiammazione cutanea atopica indotta da dermatite (esposta ad allergeni proteici ed enterotossina stafilococcica B). I topi sono stati nutriti con 200 μL di acqua (gruppo di controllo) o 150 mg/mL di SCLFP, tre volte a settimana per 8 settimane successive. I dati hanno evidenziato che il trattamento con SCLFP ha attenuato l’infiammazione cutanea, con ridotta infiltrazione di eosinofili ed espressione di citochine Th2.
Altro sintomo particolarmente comune nelle infiammazioni cutanee è il prurito, che può essere associato anche a condizioni sistemiche. Spesso questo disturbo non riesce ad essere controllato tramite l’utilizzo di farmaci, i quali possono causare importanti effetti collaterali nel prolungato uso. Un recente estratto di S. cerevisiae è risultato efficace nel bloccare recettori dell’istamina ed inibire numerose citochine infiammatorie, alleviando conseguentemente condizioni di prurito cronico.
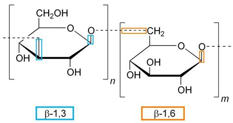
S. cerevisiae inoltre esercita effetti positivi sull’epitelizzazione e cicatrizzazione, ad esempio nel trattamento delle emorroidi esterne e interne non complicate e, applicato sulla mucosa ano rettale o sulla cute anale favorisce la cicatrizzazione delle ulcere e ragadi: i suoi principi attivi risultano essere, in codesta patologia, aminoacidi, peptidi e carboidrati, in particolare il beta-glucano. La capacità dell’estratto di cellule di S.cerevisiae di stimolare la respirazione cellulare induce l’attivazione dei fibroblasti e la produzione di collagene con effetti positivi.
Tali β-glucani sono polisaccaridi della parete cellulare naturale presenti in lieviti, funghi, batteri, alghe e cereali. Essi possono apportare diversi benefici sulla salute, possiedono proprietà anti-tumorale, immunomodulante e svolgono prevenzione verso infezioni e diabete. Infatti lo studio di Bin Du et al. sottolinea l’attività antiossidante, l’azione anti-aging, la protezione contro la luce ultravioletta, la guarigione delle ferite, l’effetto idratante e l’assorbimento della permeazione cutanea del β-glucano.

Riguardo il link S.cerevisiae-cancro, le cellule tumorali fagocitano il lievito e questo evento innesca successivamente l’apoptosi nelle cellule stesse in vitro e in vivo. Come indicato nello studio di Elwakkad et al., S.cerevisiae esercita un effetto apoptotico sul cancro della pelle indotto chimicamente nei topi tramite 7,12dimetIlbenz[α]antracene (DMBA) e 12-O-tetradecanoilforbol-13-aceteato (TPA). In codesto studio, 100 topi sono stati suddivisi in 5 gruppi: il gruppo 1 fungeva da controllo senza tumore, il gruppo 2 era costituito da topi portatori di tumore e i gruppi 3-5 erano topi con tumore che ricevevano lievito attraverso l’iniezione IT 100 μl (2 volte/settimana) a concentrazioni di 107, 108 e 109 cellule/ml, rispettivamente. Il trattamento intra-tumorale con lievito per 16 settimane ha apportato: aumenti di Ca2+ nell’omogenato cutaneo, nonché modulazione dei percorsi intrinseci/estrinseci mediante la downregulation di Bcl-2 e FasL, upregulation di Bax e l’aumento dell’espressione di Citocromo-c e caspasi 9, 8 e 3. Dopo il trattamento con lievito inoltre sono stati rilevati cambiamenti istopatologici del mantello cutaneo dei topi con tumore: diminuzione dello spessore del rivestimento cellulare epidermico formato da cheratinociti differenziati; lieve displasia; riduzione delle mitosi ed atipie cellulari; assenza di proliferazione delle cellule basali; regressione del tumore. All’analisi istopatologica non sono stati rilevati effetti tossici, né alterazioni biochimiche o del peso corporeo. Tali risultati, pertanto, mostrano come il lievito sia potenzialmente attivo su istotipi tumorali cutanei con prospettive di applicazione anche cliniche umane.
Un altro ambito in cui si è ipotizzato l’utilizzo del lievito, è quello delle patologie neurodegenerative quali demenza e Alzheimer (AD). La malattia di Alzheimer è una patologia neurodegenerativa progressiva caratterizzata da molteplici cambiamenti istopatologici cerebrali, da alterazioni della memoria e della funzione cognitiva. Attualmente, non esiste un trattamento efficace in grado di arrestare o invertire la progressione di questa malattia.
Pazienti con malattie neurodegenerative hanno livelli ematici significativamente più bassi di ergotioneina (ERG) rispetto a soggetti sani: ERG è un nutraceutico antiossidante naturale con capacità nel ridurre il danno ossidativo cellulare, non viene biosintetizzato naturalmente dall’uomo ma viene acquisito tramite la dieta, utilizzandolo tramite un trasportatore specifico (SLC22A4). Van der Hoek ha ingegnerizzato S. cerevisiae per la produzione di L-(+)- ERG. L'ingegnerizzazione di S. cerevisiae per la produzione di L-(+)- ERG, riducendo i costi di estrazione solitamente molto alti per l’ottenimento di questo nutraceutico, potrebbe avere un grande potenziale per prevenire o ritardare l’insorgenza di patologie neurodegenerative.
Nella ricerca di Zhang et al. sono stati esplorati gli effetti di un trattamento a base di lievito arricchito con selenio (Se-lievito) per la durata di 3 mesi sulla disfunzione cognitiva e la neuropatologia nel modello di topo transgenico triplo di AD (topi 3 × Tg-AD). Gli autori hanno osservato un significativo miglioramento dell’apprendimento spaziale e della memoria. Inoltre il trattamento ha promosso l’attività neuronale, attenuato l’attivazione di astrociti e microglia, mitigato i deficit sinaptici, e ridotto i livelli di tau totale e tau fosforilato. Tale proteina tau è una fosfoproteina associata ai microtubuli localizzata prevalentemente nell’assone neuronale, la sua funzione è favorire l’assemblaggio e la stabilità dei microtubuli consentendo il trasporto lungo l’assone. Gli intrecci di neurofibrille presenti in soggetti affetti da AD sono costituiti da proteina Tau iperfosforilata: in questo stato la molecola presenta una ridotta capacità di legarsi ai microtubuli e ciò ne riduce la funzione. Quindi l’integrazione dietetica con Se-lievito potrebbe esercitare molteplici effetti benefici sulla prevenzione e trattamento dell’AD.
Come è noto l’AD è caratterizzata da placche amiloidi, perdita sinaptica e clusters neurofibrillari. Le placche amiloidi sono principalmente aggregati di β-peptide amiloide (Aβ), un fattore primario che contribuisce alla patogenesi dell’AD. L’eliminazione o la riduzione del livello di Aβ è considerata una strategia efficace nel trattamento della patologia. Song et al. hanno studiato gli effetti del selenio-lievito in un modello di topo transgenico triplo di AD (topi 3 × Tg-AD). La somministrazione di lievito Se ha portato ad attenuare la deposizione di Aβ nel cervello dei topi AD, in concomitanza con livelli ridotti di LC3II; ha diminuito il livello del precursore della proteina amiloide (APP) e l’attività della proteina chinasi attivata da AMP (AMPK); nonché i livelli di p62, mentre sono aumentati i livelli di catepsina D, accompagnati da un aumento del turnover di Aβ; infine il Se-lievito ha modulato la via di segnalazione proteina chinasi attivata da AMP (AMPK)/ proteina chinasi B bersaglio della rapamicina nei mammiferi (AKT/mTOR)/ p70 proteina ribosomiale S6 chinasi (p70S6K), riducendo così l’onere dell’accumulo di Aβ nel cervello dei topi AD.
Particolare attenzione va rivolta inoltre ai nucleotidi, che costituiscono parte integrante del prodotto in oggetto al presente manoscritto. I nucleotidi, composti intracellulari a basso peso molecolare, sono esteri fosforici dei nucleosidi, formati da un composto azotato purinico o pirimidinico, uno zucchero pentoso e uno o più gruppi fosfato. In condizioni fisiologiche, la produzione endogena soddisfa i fabbisogni, mentre nelle prime fasi di vita e in condizioni di stress o danno ad alcuni tessuti, è necessaria la somministrazione esogena di nucleotidi. Alcuni tessuti possiedono una limitata capacità di sintesi ex novo, richiedendo così basi di origine esogena che possano essere utilizzate attraverso una via di recupero. Ad esempio, la mucosa intestinale, le cellule ematopoietiche del midollo osseo, i leucociti, gli eritrociti ed i linfociti necessitano di un apporto esogeno di nucleotidi attraverso la dieta, prevalentemente in una formulazione miscelata, poichè ogni singolo presenta peculiari proprietà. I nucleotidi assunti nella dieta possono modulare l’espressione genica attraverso l’interazione con specifici fattori di trascrizione, sia nel fegato che nell’intestino tenue.
Numerose ricerche dimostrano che la loro inclusione in prodotti come latte formulato per la prima infanzia e nutrizione parenterale, migliora la funzionalità e lo sviluppo del sistema immunitario intestinale nei lattanti, come pure un effetto diretto sul mantenimento dell’integrità della mucosa intestinale. È stato dimostrato che l’integrazione di nucleotidi in modello murino aumenta il peso della mucosa intestinale, l’altezza dei villi (superiore al 25%) e l’attività degli enzimi situati al livello dell’orletto a spazzola (maltasi, saccarasi e lattasi). Ciò suggerisce un’accelerazione della crescita e differenziazione delle cellule intestinali. È interessante sottolineare che l’integrazione con una miscela nucleosidi-nucleotidi accelera il recupero dopo privazione di cibo, infezioni o carenza di proteine: l’atrofia del piccolo intestino e la ridotta attività degli enzimi dell’orletto a spazzola nei ratti vengono rapidamente recuperati con l’integrazione dei suddetti. Alcune pubblicazioni inoltre affermano che l’integrazione alimentare di nucleotidi migliora la flora microbica intestinale, stimolando la crescita dei Bifidobatteri in vivo. I nucleotidi alimentari favoriscono lo sviluppo della flora intestinale con una predominanza di Bifidobatteri e Lattobacilli ed una bassa percentuale di Enterobatteri Gram negativi.
Infine, in merito alla modulazione del sistema immunitario, i nucleotidi hanno mostrato attività sia sull’immunità umorale sia su quella cellulo-mediata, accelerando la produzione di anticorpi cellule T-dipendenti e facilitando l’azione delle cellule T-helper in fase di presentazione dell’antigene durante le interazioni cellula-cellula. Una miscela nucleoside-nucleotide (NNM) stimola la proliferazione, la differenziazione e la maturazione dei neutrofili. I nucleotidi provocano, inoltre, un aumento transitorio della citotossicità delle cellule natural killer, della produzione dell’interleuchina-2, delle secrezioni di interferone-gamma e riducono il livello di attivazione macrofagica. Pertanto, l’integrazione di nucleotidi alimentari aumenta la resistenza alle infezioni batteriche.
L’obiettivo del nostro studio è stato quello di analizzare gli effetti terapeutici a breve termine, la sicurezza/tollerabilità di un integratore alimentare, ottenuto mediante un processo estrattivo controllato a base di sola acqua, derivante da cellule di lievito Saccharomyces cerevisiae, unite ad un pool di ingredienti nutritivi di origine naturale, in pazienti con disturbi della memoria e/o patologie dermatologiche.
Nel presente studio aneddotico, osservazionale e compassionevole abbiamo valutato su una coorte di pazienti (n=120), che si sono rivolti spontaneamente al nostro Network del Secondo Parere.
L'importanza dei probiotici per la salute umana.
Saccharomyces boulardii è una variante genotipica del noto lievito S. cerevisiae. Questo probiotico resiste alle condizioni del tratto gastro-intestinale superiore (pH acido) e può quindi essere consumato in qualunque momento della giornata; per la sua natura di organismo eucariote è inoltre non suscettibile agli antibiotici, caratteristica che lo rende resistente al trattamento comunemente utilizzato per contenere le infezioni batteriche. L’utilizzo di boulardii consente di ridurre la durata del ricovero ospedaliero, rischi e complicanze del trattamento e i relativi costi. La diarrea da C. difficile è spesso molto difficile da trattare per il persistente stato infiammatorio generato dalle tossine batteriche.
La birra è tra le bevande più amate al mondo e si compone di tre ingredienti fondamentali ovvero il malto, il luppolo e l'acqua. L'abbinamento di questi tre elementi senza il lievito però non darebbe vita a nulla poiché non avverrebbe la fermentazione. La sua presenza è di fondamentale importanza in quanto grazie alla fermentazione degli zuccheri questi si trasformano in etanolo e anidride carbonica. Di preciso a cosa servono ceppi di lieviti Saccharomyces cerevisiae o Saccharomyces carlsbergensis? Essendo i due ceppi più utilizzati per la produzione di birra sono entrambi importanti ma in modo differente. La prima tipologia è un lievito ad alta fermentazione ed è in grado di produrre circa il 10% di alcol. In genere i lieviti ad alta fermentazione garantiscono tempi di produzione molto rapidi, circa 4-5 giorni, perché lavorano a temperature alte, quindi il calore favorisce la fermentazione. Per quelli a bassa fermentazione è il contrario. La loro applicazione però consente di creare diverse tipologie di birre, con diversi gusti, sentori e gradazioni alcoliche. Questa tipologia di lievito è stata scoperta da Antoni van Leeuwenhoek, micologo olandese, nell'anno 1680.
La sigla RFPL sta ad indicare una tecnica che prevede l'analisi del polimorfismo della lunghezza dei frammenti di restrizione. In pratica il DNA ribosomale o mitocondriale del ceppo di Saccharomyces che si sta studiando viene "sezionato" in specifici punti per effetto di enzimi di restrizione che tagliano le molecole in corrispondenza di sequenze ben precise. Dopo aver amplificato il prodotto mediante PCR, i frammenti ottenuti vengono marcati con marcatori radioattivi o fluorocromatici e fatti correre su gel d'agarosio per elettroforesi. L'analisi delle bande derivate dall'attività radioattiva o dalla fluorescenza permette di individuare la lunghezza dei frammenti prodotti, che è specifica per ogni ceppo del lievito. Le sequenze Delta sono altre sequenze che mostrano un certo polimorfismo e possono pertanto essere utilizzate come strumenti di identificazione.
Questo lievito in genere non è considerato patogeno e vive abitualmente in corrispondenza di epidermide, mucose e tratto gastrointestinale di moltissimi animali compreso l'Uomo. In ambito biotecnologico, Saccharomyces cerevisiae è senza dubbio il lievito più importante e l'organismo modello maggiormente utilizzato. Dal punto di vista farmacologico le applicazioni di preparati a base di Saccharomyces cerevisiae sono molte e ciò non deve rappresentare una sorpresa.

tags: #saccharomyces #cerevisiae #nel #bambino