La creatina è un integratore ampiamente utilizzato nel mondo del fitness, ma con l'emergere di nuove forme sul mercato, molti si chiedono quale sia la migliore. Kre-Alkalyn® si presenta come una delle forme di creatina più avanzate, progettata per offrire risultati superiori e un migliore assorbimento.
Cos'è la Creatina e Come Funziona?
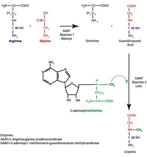
La creatina è una molecola composta da carbonio e azoto, prodotta naturalmente dal corpo a partire dagli amminoacidi arginina, glicina e metionina. È nota per la sua capacità di aumentare le prestazioni fisiche durante allenamenti di forza rapida e attività intense di breve durata, supportando la produzione di energia attraverso la risintesi dell'ATP.
L'integrazione di creatina è particolarmente utile per atleti che praticano discipline come lo sprint, il sollevamento pesi e l'allenamento a intervalli. Può offrire un valido supporto anche a vegetariani e vegani, la cui dieta potrebbe non fornire quantità sufficienti di questa sostanza. La creatina è presente anche in alimenti come la carne, ma un'integrazione mirata può essere necessaria per chi pratica sport in modo intenso.

Le Diverse Forme di Creatina sul Mercato
Nel corso degli anni, sono state sviluppate diverse forme di creatina, ciascuna con l'intento di migliorare l'assorbimento e ridurre gli effetti collaterali. Vediamo alcune delle più comuni:
Creatina Monoidrato
La creatina monoidrato è la forma classica e più conosciuta. Sebbene sia quella con il maggior riscontro scientifico, presenta alcuni limiti:
- Scarsa solubilità in acqua.
- Scarso assorbimento muscolare a causa della degradazione nel pH gastrico.
- Potenziale sovraccarico renale durante le fasi di carico.
- Possibile ritenzione idrica e aumento di peso.
- Possibili disturbi gastrointestinali con dosaggi elevati.
Per migliorarne l'assorbimento, teoricamente andrebbe assunta in concomitanza di carboidrati ad alto indice glicemico.
Creatina Micronizzata
La creatina micronizzata presenta particelle più sottili rispetto alla monoidrato, migliorando la solubilità e tentando di ridurre i problemi gastrointestinali. Tuttavia, una parte di essa rischia comunque di non essere assorbita efficacemente. Anche questa forma è legata a un trasportatore sodio-dipendente, il cui funzionamento può essere influenzato dalla creatina già presente in circolo.
Altre Forme di Creatina
Le forme più recenti di creatina hanno subito ulteriori lavorazioni, spesso legando la molecola ad altre sostanze per facilitarne l'assorbimento. Queste forme solitamente richiedono dosaggi inferiori e non necessitano di una fase di carico.
Creatina Alfa-Chetoglutarato
Si ritiene che stabilizzi meglio la creatina nel pH gastrico, favorendone l'assimilazione e riducendo la degradazione. Potrebbe inoltre favorire la produzione di energia in sinergia con la creatina. Il dosaggio consigliato è di 3-5 grammi al giorno senza fase di carico.
Creatina Etil-Estere, Metilata, Orotata
Queste forme presentano differenti modifiche chimiche volte a migliorarne l'assorbimento o l'efficacia a livello cellulare, ma alcuni studi suggeriscono potenziali impatti sul fegato o benefici ancora da confermare pienamente.

Kre-Alkalyn®: La Creatina Tamponata
Kre-Alkalyn® è una creatina tamponata, il che significa che viene prodotta a un pH più elevato rispetto alla creatina tradizionale. L'ambiente acido dello stomaco può favorire la conversione della creatina in creatinina, un prodotto di scarto. Grazie al suo pH elevato, Kre-Alkalyn® viene rilasciato nei muscoli alla massima potenza, minimizzando la conversione in creatinina e riducendo la perdita di creatina.
Questo processo garantisce una maggiore stabilità nel tratto digerente e un migliore assorbimento nell'organismo. Kre-Alkalyn® non richiede la fase di carico e non provoca gli spiacevoli effetti collaterali che alcune persone riscontrano con altre forme di creatina, come disturbi gastrointestinali o ritenzione idrica.

Benefici di Kre-Alkalyn®
- Massimizza lo stoccaggio energetico nei muscoli.
- Migliora l'assorbimento della creatina.
- Non viene attaccata dal pH gastrico, evitando la conversione in creatinina.
- Offre una migliore spinta energetica, maggiore forza e maggior volume muscolare.
- Migliora il metabolismo energetico, fondamentale per sforzi anaerobici di alta intensità.
- Supporta il dimagrimento migliorando lo scambio nutrizionale all'interno delle cellule muscolari.
- Non richiede fase di carico né ciclizzazione.
EFX Kre Alkalyn - Creatina Alcalina come e quando Assumerla - NutritionCenter.it
Dosaggio e Consigli d'Uso
Per massimizzare l'effetto di Kre-Alkalyn®, si consiglia di assumere 4 capsule al giorno, con abbondante acqua. Alcuni studi suggeriscono dosaggi inferiori rispetto alla creatina monoidrato, con un'efficacia paragonabile o superiore. Ad esempio, per l'aumento della massa e della potenza muscolare, o per le prestazioni sportive, si possono assumere 1-2 capsule circa 45-60 minuti prima dell'esercizio.
Per potenziare ulteriormente l'effetto, Kre-Alkalyn® può essere abbinato a un carboidrato ad alto indice glicemico, che favorisce una spinta anabolica e accelera il trasporto della creatina nei muscoli.
Considerazioni Importanti
È fondamentale ricordare che gli integratori non vanno intesi come sostituti di una dieta variata ed equilibrata e di uno stile di vita sano. Tenere fuori dalla portata dei bambini al di sotto dei tre anni. Non utilizzare in gravidanza e nei bambini, o comunque per periodi prolungati senza sentire il parere del medico. Non superare la dose giornaliera consigliata.

In conclusione, Kre-Alkalyn® rappresenta un'innovativa soluzione per chi cerca i benefici della creatina con una migliore tolleranza e un assorbimento ottimizzato. Qualsiasi atleta che pratica sport molto intensi e che richiedono movimenti esplosivi trarrà enormi benefici dall'integrazione di creatina.
tags: #migliore #creatina #krealkalyn